Interpretazione di Bohm

Da Ufopedia.

L'interpretazione di Bohm della meccanica quantistica, detta talvolta meccanica bohmiana, è un approccio postulato da David Bohm nel 1952, riprendendo l'idea della cosiddetta onda pilota che Louis de Broglie elaborò nel 1927. Per questo motivo viene utilizzato anche il termine teoria di De Broglie-Bohm.

Indice

Fondamenti

L'interpretazione di Bohm è un esempio di teoria delle variabili nascoste, con la quale si spera di ottenere una descrizione deterministica della realtà che sia in grado di risolvere molti dei problemi aperti della meccanica quantistica, quali il paradosso del gatto di Schrödinger, il collasso della funzione d'onda e altri.

Il teorema di Bell dimostra però che nessuna teoria locale a variabile nascosta è compatibile con la meccanica quantistica, imponendo quindi la scelta del male minore tra la rinuncia al principio di località e quella al realismo, e l'interpretazione bohmiana opta per la prima. Non è chiaro comunque come possa essere compatibile con la teoria quantistica dei campi, che è essenzialmente locale.

Esperimento della doppia fenditura

L'interpretazione di Bohm trae spunto dalla interferenza di elettroni nell'esperimento della doppia fenditura, che Bohm e de Broglie interpretarono come fenomeno quantistico per il quale ogni tipo di particella è associata a un'onda che ne guida il moto (da cui il termine onda pilota) e che è responsabile del fenomeno di interferenza osservato. Matematicamente tale onda pilota è descritta dalla classica funzione d'onda della meccanica quantistica, corretta da un fattore che rende conto dell'influenza sul moto della particella.

Tale influenza dell'onda pilota viene quantitativamente definita introducendo il potenziale quantistico, che agisce sulla particella in modo analogo all'effetto dell'interazione delle particelle con i campi osservato in fisica classica. L'onda pilota, nel governare il moto della particella, evolve in accordo con l'equazione di Schrödinger. Diversamente dall'interpretazione a molti mondi, l'interpretazione di Bohm non implica che l'universo si separi quando viene effettuata una misura, e diversamente dall'interpretazione di Copenhagen è sia oggettiva che deterministica. Essa afferma che l'universo evolve uniformemente nel tempo, senza collasso delle funzioni d'onda. Bohm chiamò la variabile nascosta-onda pilota forza di potenziale quantistico.

Non-località

L'interpretazione di Bohm mantiene, come già sottolineato, la non-località della meccanica quantistica, la quale afferma che gli eventi che accadono in un punto qualsiasi dello spazio possono influenzare istantaneamente altri eventi che avvengono a distanza.

La non-località rappresenta il cardine riguardo alle evidenze sperimentali relative al paradosso EPR e al teorema di Bell. A tal proposito esistono due differenti correnti di pensiero: la prima, alla quale aderì lo stesso John Stewart Bell, afferma che la meccanica quantistica stessa è per natura non-locale mentre la seconda, tra i cui sostenitori spicca Niels Bohr, afferma invece che le corrette evidenze sperimentali non sono tanto legate alla teoria quantistica di per se stessa bensì a una sua interpretazione deterministica. I fisici che appartengono a quest'ultima corrente tendono a discostarsi maggiormente dalla meccanica bohmiana.

La non-località ha avuto un'importante conferma sperimentale dall'esperimento sulla correlazione quantistica di Alain Aspect.

Formalismo matematico

Generalizzando l'espressione dell'equazione di Schrödinger per un sistema a molte particelle, si ottiene la forma

Boh1.JPG

La densità di probabilità Boh2.JPG è una funzione reale definita da

Boh3.JPG

La fase complessa dipende dalla variabile reale Boh4.JPG per cui si può scrivere

Boh5.JPG

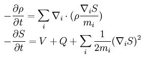
L'equazione di Schrödinger può essere suddivisa in due equazioni accoppiate che prendono in considerazione i termini reali e immaginari:

Boh6.JPG

dove la prima relazione è una equazione di continuità che esprime la probabilità mentre l'ultima relazione che esprime l'energia totale come somma dell'energia potenziale, del potenziale quantistico e delle energie cinetiche.

Q è il potenziale quantistico ed è ricavabile dalla relazione

Boh7.JPG

Voci correlate

Strumenti personali
Namespace
Varianti
Azioni
Menu principale
Strumenti